資源環工微積分(二)20210607_2 (50:36)
影片限制特定使用者觀看,請先 登入
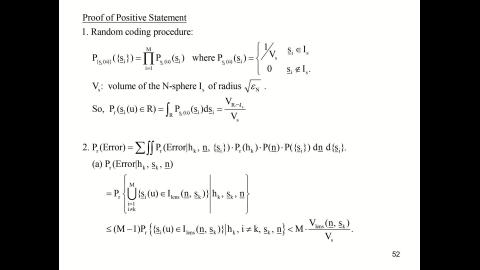
影片標題:資源環工微積分(二)20210607_2
影片分類:教學
上傳時間:2021-06-02 12:17:49
上傳者: 郭鴻文
觀看次數:2042

嵌入網址

您可以將影片嵌入到自己的網站播放,更改 width, height 的數值以符合您網站的需要

自動調整大小的嵌入網址

您可以將影片嵌入到自己的網站播放,更改 width, height 的數值以符合您網站的需要
分享到


嵌入網址

您可以自由更改 width, height 的數值以符合您網站的需要

自動符合寬度的嵌入網址



請先 登入
請先 登入
相關影片
MFG_chap 27_1.mp4
19:12
MFG_chap 27_1.mp4 觀看(406)
20250513民訴研習上課錄製檔
01:55:34
20250513民訴研習上課錄製檔 觀看(90)
110-2 生物製劑_第7組_RNA類藥物: Patisiran
21:07
110-2 生物製劑_第7組_RNA類藥物: Patisiran 觀看(18)
Health_Lecture_2022.5.3
41:09
Health_Lecture_2022.5.3 觀看(19)
(66212)D1140602-4_1132TIDL生活中的毒物(課調老師:生理所張雅雯教授)_水利系蕭筑庭_114.6.2_千萬不要用沐浴乳洗澡?Paraben是誘發乳癌致癌物?!
02:50
(66212)D1140602-4_1132TIDL生活中的毒物(課調老師... 觀看(609)
20250506民訴研習上課錄製檔
01:58:09
20250506民訴研習上課錄製檔 觀看(124)
CE-PhysChem-2022-03-17-2
48:51
CE-PhysChem-2022-03-17-2 觀看(94)
LED-4-flux per package-產業競爭-2022-04-09.mp4
01:13:04
LED-4-flux per package-產業競爭-2022-04-09.mp4 觀看(4097)
Shakespeare Tragedy_20210519 2021-05-19-13-51-42.mp4
01:10:01
Shakespeare Tragedy_20210519 2021-05-19-13-51-4... 觀看(19)
2024 Endocrine Demo-2.mp4
11:58
2024 Endocrine Demo-2.mp4 觀看(1)